sugarspicesatya ®   10-Jul-2024 13:29

Question Paper Set (May 2024) for Second Mate (F.G.) Mercantile Marine Department (MMD), India Examinations


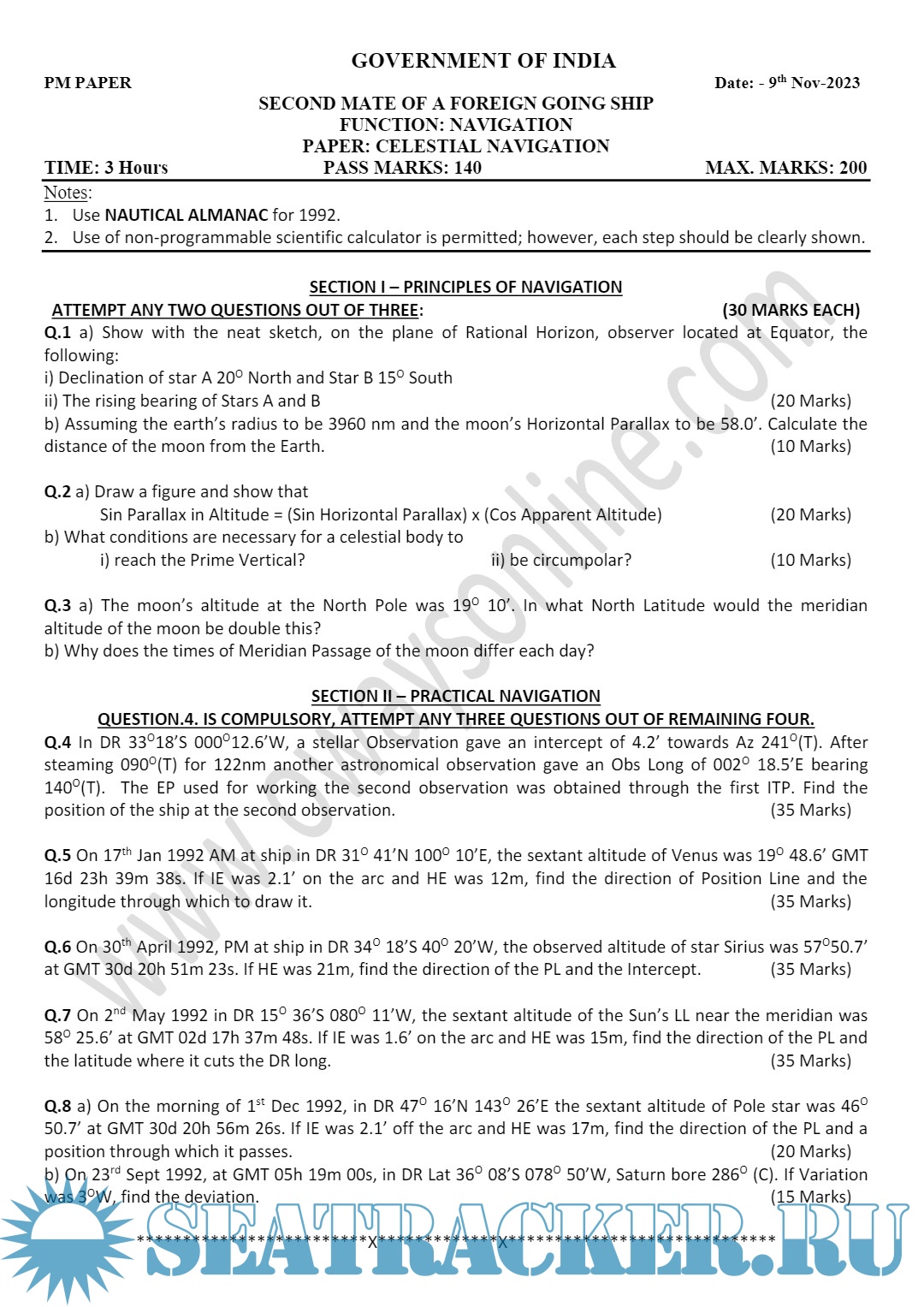
Year: 2024
Language: English
Author: Oways Online
Format: PDF
Quality: Scanned pages
Pages count: 464
Description: Second Mate (F.G.) question paper sets (May 2024-2016) for Mercantile Marine Department (MMD), India Exams.

Contents

n/a

Screenshots

Hidden

Download [13 KB]

Thank U
Reply
refresh list

Similar releases

Question Paper Set (November 2023) for Second Mate (F.G.) Mercantile Marine Department (MMD), India…
Question Paper Set (May 2024) Phase II (Chief Mate F.G.) Mercantile Marine Department (MMD), India…
Question Paper Set (February 2024) Phase II (Chief Mate F.G.) Mercantile Marine Department (MMD),…
Question Paper Set (May 2023) Phase II (Chief Mate F.G.) Mercantile Marine Department (MMD), India…
Question Paper Set (May 2023) for Second Mate (F.G.) Mercantile Marine Department (MMD), India…
Question Paper Set (November 2023) Phase II (Chief Mate F.G.) Mercantile Marine Department (MMD),…
Question Paper Set (July 2023) for Second Mate (F.G.) Mercantile Marine Department (MMD), India…
Question Paper Set (March 2023) for Second Mate (F.G.) Mercantile Marine Department (MMD), India…
Question Paper Set (January 2024) for Phase I (Chief Mate F.G.) Mercantile Marine Department (MMD),…
Question Paper Set (July 2024) for Phase I (Chief Mate F.G.) Mercantile Marine Department (MMD),…
LOAD MORE
  • Topic closed

The time now is: Today 00:22

All times are GMT + 3 Hours